ANNOUNCEMENT
来源:中国农业科学院农业资源与农业区划研究所
近日,中国农业科学院农业资源与农业区划研究所耕地质量监测与保育创新团队承担的中国农科院大豆“藏粮于技”项目,集成创新以“免耕覆秸精量播,接菌拌药增密种,滴灌补肥高产管”为核心的大豆全程机械化精准栽培技术,实现了河南新乡大豆连年高产示范。“齐黄34”和“郑1307”两个品种大豆的10亩平均产量分别为236公斤/亩和252公斤/亩。

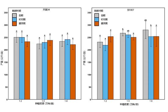
图1
在河南省新乡市中国农科院灌溉所基地,科研团队设置种植密度和后期补肥试验种植密度分别为1.2万株/亩,1.5万株/亩和1.8万株/亩,磷肥做种肥,苗期或初花期和盛荚期滴灌施氮钾肥,每亩用量9.3公斤复合肥,种植面积20亩。结果表明,在大豆生长季(6-9月)降雨量为近30年同期最高时,“齐黄34”小区亩产变幅为221.64 - 250.70公斤/亩,“郑1307”小区亩产变幅为218.85 - 280.41公斤/亩。与2020年不同,施肥措施对产量无显著影响,增密处理产量可以提高11-12%(图1),但增加了倒伏减产风险。

图2
增量施肥试验设置每亩10公斤、20公斤和30公斤复合肥的施肥梯度,种植面积20亩。“齐黄34”和“郑1307”两个品种大豆产量变幅分别为253.19 - 260.88公斤/亩和257.13 - 265.63公斤/亩,均表现出随种肥施肥量的增加而增加(图2)。但大豆施肥增效与降水导致的养分流失或高产大豆氮阻遏效应是否有关还有待进一步研究。(通讯员 金云翔)
原文链接:https://www.caas.cn/xwzx/kyjz/315587.html